PEG-8 Stearate

Functions
Humectant
Detergent
Emulsifier
CAS Number(s)
9004-99-3
FDA UNII
2P9L47VI5E
INCI name
Peg-8 Stearate

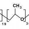
PEG-8 Stearate is a nonionic emulsifier in solid form, created through the esterification of vegetable oil-derived stearic acid with polyethylene glycols with an average molecular weight of 400. Its pH of 3% aqueous solution is 6, HLB Value of 11.5.

PEG-8 Stearate is oil-soluble and works well in nonaqueous systems. Like other similar PEG esters, it is compatible with many amphoteric, anionic, cationic, and nonionic surfactants, allowing its use as primary and secondary emulsifiers.

PEG-8 Stearate is manufactured to meet the Kosher requirements designated by the Orthodox Union (OU). It is known under the trade name Lumulse™ 40-S K.

Synonyms
Polyoxyl 8 Stearate
Lumulse™ 40-S K
Changed